2100万枚までしか発行されないビットコイン。仮に発行上限を撤廃して「Tail Emission」を導入しても問題がないという主張の根拠は?
ビットコインはそれぞれのビットコインユーザーの主観で成り立っています。本稿でも何度か取り上げているように、ビットコイン最大の特徴に「自分のノードで、好きなルールで検証できる(気に入らなかったら自由にフォークできる)」というものがあるためです。
それでは、ビットコインユーザー100人に聞いた「ビットコインのアイデンティティ」はどんな感じになるでしょうか。実際に調査したわけではありませんが、おそらく次のような特徴をビットコインユーザーの共通認識として挙げてくれるでしょう:
・発行上限2100万枚を目指して、4年ごとに発行枚数が半減する
・Not Your Keys, Not Your Coins
・非中央集権性に価値を置いている
このようにビットコインの発行上限は非常に有名な特徴となっていますが、一般的な法定通貨にはない特徴のため比較的批判されやすい部分でもあります。特に現代の金融政策とは「通貨の量を調整することで経済活動を安定させる」という思想に他ならないため、通貨の量を調整しないビットコインは異端なのでしょう。
逆に、上限撤廃論者はビットコインの中でも異端で、かなりの少数派と言えるでしょう。しかし、先週の記事でも触れた通り、ひょっとすると上限を撤廃したほうがいい可能性はあると考えているビットコイナーは存在します。今日はその中でも代表的な開発者であるPeter Todd氏の主張を見ていきましょう。
・ビットコインはインフレしなくなったらデフレしてしまう?
・「発行量=失効量」というバランスを実現すれば流通量の安定が得られる
・どういう状況で受け入れられる思想なのか?
ビットコインはインフレしなくなったらデフレしてしまう?
ビットコインは現在1ブロックごとに3.125 BTCが新規発行され、総発行量に対するインフレ率として表現すると約0.85%となっています。実測値はハッシュレートの変動などで多少ブレますが、半減期という仕組みによって将来にわたってビットコインのインフレ率が予期できます。下にグラフを貼ります:

見ての通り、2040年には0.05%というほぼ誤差のような数字になります。また、ご存知の通り、この数字は4年ごとに半減していき2140年には0%に到達することになるのですが、先進国のインフレターゲットが軒並み2%であったり、金(ゴールド)の年間採掘量が総流通量の3%ほどと言われている以上、ビットコインの「インフレ率」(ここでは総発行量に対する直近1年間の発行量=増加率)は既に非常に低い水準に達していることがわかります。
話は変わりますが、皆様はいわゆるセルフGOXの経験はありますか?一般的なハッキング(「GOX」)との区別として、セルフGOXは大抵の場合誰かの手に渡ったわけではなく、誰もアクセスできなくなってしまうことを指します。客観的にセルフGOXが起こったことを検知するのは明らかに秘密鍵が存在しないようなアドレス(※)に送付されたもの以外ではほぼ不可能です。
(※)…バーンアドレスとも言います。ビットコインで有名なものは1111111111111111111114oLvT2などです。
しかし、客観的に検知できないとしてもセルフGOXしてしまったビットコインはいわゆる「流通量」からは取り除くのが自然ではないでしょうか。明らかに二度と流通しないのですから。つまり、セルフGOXはデフレ要因なのです。
Peter Todd氏の主張
ここがPeter Todd氏の着眼点で、彼は「ある時点でのビットコインの総流通量」を数学的にモデリングしました。1ブロックあたり新規発行数量がkで固定されていると仮定すると、tブロック経過時点での総発行量N(t)は

このように表せ、1ブロックあたりの増加量はN(t)を微分したものであるため

このような式が成り立ちます。当たり前ですね。
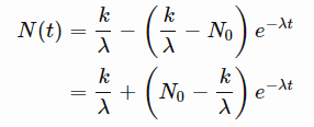
ここから一定確率で失われるコインを加えてみます。ある時点tで失われる可能性のあるコインはそのときの総発行量N(t)であり、実際に失われる確率をλと置くと

1ブロックあたりの増加量をこのように表現することができます。これを再び積分してN(t)を表現すると

となり、t=0のときN(0)=0という関係から積分定数Cを求めて代入すると

このような関係が成り立ちます。
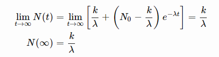
2100万枚という上限について考えるとき、撤廃するのに反対する意見は長期的に総流通量がアメリカの政府債務のように非常に大きくなっていくことを危惧するものでしょう。そこで、上の式についてtにおける極限lim(t→∞)、つまり非常に大きな時間が経過した際の総流通量を求めてみます。

なんということでしょう、超長期的には総流通量はk/λ、つまり1ブロックあたり新規発行量と、1ブロックあたりセルフGOX量のみによって定まると考えられます。これはつまり、1ブロックあたり新規発行量と1ブロックあたりセルフGOX量が釣り合う数字を意味します。
わかりにくかったら代入してみましょう。例えば毎ブロック1 BTCのペースで新規発行が永遠に続き、かつ毎ブロック総流通量の1000万分の1枚のコインがセルフGOXするとします。すると、N(∞)における総流通量は1000万BTCとなり、次のブロックで1 BTC発行されるとともに1 BTCがセルフGOXによって失われ、発行と喪失が均衡します。
したがって、非常に長い目で見ると一定の枚数が発行され続けるブロックチェーン金融政策はインフレにもデフレにもならない、新規発行と喪失のバランスが取れた状態に収束する、とPeter Todd氏は主張しています。
「発行量=失効量」というバランスを実現すれば流通量の安定が得られる
このように発行量=失効量というバランスに向かって収束していくことになるとしても、いくつか不便な点は残ります。
まず、実際のセルフGOX率λは観測不可能なので、kを定めたとしても実際のインフレ率はわからず、長期的には増えも減りもしない安定に近づいていくということしかわかりません。これは「Run the Numbers」などといってビットコインノードに現在の総発行量を計算させたり、2100万というわかりやすい定数が存在することに安心感を覚えるビットコイナーにとっては受け入れがたい状況かもしれません。
むしろ総発行量の計算が複雑で難しいことを気にしないイーサリアンには受け入れられやすそうな気がするかもしれませんが、彼らは彼らで頻繁に金融政策をいじるのに夢中で、Peter Todd氏の示す超長期的な収束を確信してどっしり構える適性は感じません。
これの裏返しで、λがわからないのにkをどうやって定めるべきか?という問題があります。例えば2100万に収束させようと思うとk/λ=2100万となる数字を選ぶことになるのですが、λがわからないため最終的な流通量は2100万にはなりません。ではどうやってkを選ぶべきかというと、Peter Todd氏は「受容可能な最大のインフレ率」から逆算すべき(それでもゼロに収束するが)としています。例えばそれが年間0.5%であればλを年間0.5%となる数字に設定し、そこからkを求めるということです。
求めるとλ=1億分の9.5、N(∞)=2100万ならk=1.995、つまり1ブロックあたり1.995 BTCの発行をずっと続けて、もしλが正しければ総流通量は2100万枚に収束する、ということになります。
実際に匿名性を重視する仮想通貨として名高いモネロでは2022年6月から、当時の発行量基準で0.9%となるインフレ率で定額無限発行を導入しています。現在の総発行量は0.855%ですが、セルフGOXを含めた実質的な総流通量はもちろん観測することはできません。数学的には長期的にゼロに収束する過程にあることが予想できます。
どういう状況で受け入れられる思想なのか?
話が長くなりましたが、ビットコインにおいて定額無限発行のような劇的な変更が受け入れられるような状況にはどのようなものが考えられるでしょうか?
例えばマイニング報酬のうち新規発行量がわずかになると、手数料の変動に応じてハッシュレートも変動する状況が考えられます。つまり、送金需要が少ない時期にはハッシュレートが低下し、「ブロック間隔のボラティリティ」が大きくなる可能性があります。
もしこれで決済までの時間増加などの問題が引き起こされるのであれば、そのときは改善する圧力がかかるでしょう。むしろ危機的な状況にならないとユーザーの間でコンセンサスが取れなさそうな話題です。(特に根拠が数学的なのでほとんどの人には響かない)
ただ、一度変えたものはまた変えられるかもしれないと警戒される意見もあるでしょう。これも一理あると思いますが、「変えるくらいなら駄目になってもいい!」とはおそらく思っていないので、やはり本当に危機的状況にあれば一度きりの大きな変更だってないとは言い切れないと感じます。だからこそ危機を煽ろうとする人たちが出てくるのですが…。
また、これは主観的な話なのですが、インフレ率が10%や5%というと非常に大きいと感じますが(ここ数年で世界中の人が実感していることでもあります)、例えば0.5%という水準であれば50年経っても失われる価値はわずか22%と2世代が経過する年月の割にはそれほど大きくありません。Peter Todd氏も指摘していますが、価格のボラティリティと比べても小さく、またこれは自分の意見ですがこれでマイニングの永久安定を買うことができるのであれば安いコストなのではないかとさえ思えてきます。
個人的にはビットコインとの付き合い方は何を成し遂げようとしているかで変わると思いますが、2100万とか固定といった詳細よりは、その数字がどのように選ばれたか、どのような意図があるか、という部分を考えるのが重要だと思います。
次の記事
読者になる
ビットコイン研究所の新着記事をお届けします。
ディスカッション